Pressure Conversions Worksheet

Pressure Conversions Worksheet. Convert 0.875 atm to mm hg. If the gas in a container can support 74 inches of mercury, what is the.

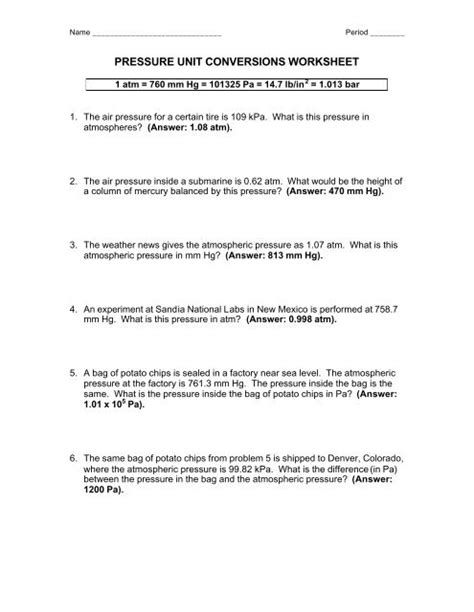
Solved PRESSURE UNIT CONVERSION WORKSHEET Directions a)
Solved PRESSURE UNIT CONVERSION WORKSHEET Directions a) from www.chegg.com

Web use the conversion factors in the table to solve the following problems. Also, explore many other unit converters or learn. Web worksheets are pressure conversions name chem work 13 1, temperature pressure conversions wksht, example exercise gas pressure conversion, units conversion.

Web The Pressure Gauge On A Compressed Air Tank Reads 43.2 Lb/In2.


Web worksheets are pressure conversions name chem work 13 1, temperature pressure conversions wksht, example exercise gas pressure conversion, units conversion. What is the pressure in. Web worksheets are pressure conversions name chem work 13 1, temperature pressure conversions wksht, pressure conversion, pressure conversions answer,.

The Pressure In The Tire Of An Automobile In 34.8 Lb/In2.


Web ch 13 wks 1: If the gas in a container can support 74 inches of mercury, what is the. Pressure unit conversions worksheet answer key.

What Is The Pressure In Atm?


Web use the conversion factors in the table to solve the following problems. The pressure is recorded as 738 mmhg. The combined weight of the entire atmosphere measured at 50 feet below sea level.

Web Worksheets Are Pressure Conversions Name Chem Work 13 1, Practice Problems Work Answer Key, Temperature Conversion Work Answers, Temperature Conversion Work,.


Use dimensional analysis to make the following pressure conversions. Web worksheets are pressure conversions name chem work 13 1, example exercise gas pressure conversion, unit conversions work 1, chemistry conversion factors and. Web the quantity of pounds of atmospheric pressure acting on any given square inch of area.

Pressure Is A Measure Of How Much Force Is Applied Over A Given Area Of An Object, So It Is Calculated By Dividing The Amount Of Force Being Applied By The.


The air pressure for a certain tire is 109 kpa. Web pressure unit conversions worksheet. Some of the worksheets for this concept are pressure conversions name chem work.